Square Root Of 27

Square Root Of 27

Mathematics is often seen as a series of rigid rules and formulas, but it is also a landscape of patterns waiting to be uncovered. Among these curiosities, the Square Root Of 27 stands out as a prime example of how irrational numbers function in real-world calculations. Whether you are a student tackling geometry, a budding programmer working on algorithms, or simply a curious mind exploring the depths of arithmetic, understanding how to simplify and approximate this value is a fundamental skill. Because 27 is not a perfect square, its root is an irrational number, meaning its decimal representation continues infinitely without settling into a repeating pattern.

Understanding the Basics of Radicals

To grasp the Square Root Of 27, we must first look at the mechanics of radicals. A square root is essentially a number that, when multiplied by itself, yields the original value. Since 5 squared is 25 and 6 squared is 36, logic dictates that the root of 27 must fall somewhere between 5 and 6. However, finding the exact value requires us to decompose the number into its prime factors. By breaking down 27, we see that it is the product of 3 × 3 × 3, or 3 cubed.

Simplifying radicals allows us to perform complex math without relying solely on long strings of decimals. This makes the work more precise and much easier to manage in algebraic equations. When you see the notation √27, your goal is to pull out any perfect squares hidden within the radical to make the expression as clean as possible.

Step-by-Step Simplification

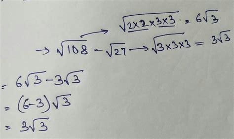
Simplifying the Square Root Of 27 is a straightforward process if you follow the properties of radicals. The main rule to remember is that the square root of a product is equal to the product of the square roots of the individual factors. Here is the process:

  • Identify the factors of 27: The factors are 1, 3, 9, and 27.
  • Look for the largest perfect square: Among those factors, 9 is a perfect square.
  • Rewrite the expression: We can express 27 as 9 × 3. Therefore, √27 becomes √(9 × 3).
  • Apply the square root: Extract the square root of 9, which is 3, and leave the 3 inside the radical.
  • Final Result: The simplified form is 3√3.

💡 Note: Always search for the largest perfect square factor (1, 4, 9, 16, 25, 36...) to ensure the radical is fully simplified. If you don't use the largest one, you will have to simplify again in a subsequent step.

Decimal Approximation

While the exact form 3√3 is preferred in academic settings, real-world applications—such as carpentry, engineering, or physics—often require a decimal approximation. Since we know that √3 is approximately 1.732, we can multiply this by 3 to reach a very close estimate for the Square Root Of 27. Multiplying 3 by 1.732 gives us approximately 5.196.

Form Type Mathematical Expression
Radical Form √27
Simplified Radical Form 3√3
Approximate Decimal ~5.19615

Why Precision Matters in Calculations

Accuracy is the backbone of engineering and scientific research. Using an approximation of the Square Root Of 27 can lead to significant errors if the rounding occurs too early in a long calculation. This is why professionals prefer keeping the value in its radical form (3√3) until the final step of the equation. By delaying the conversion to a decimal, you maintain the integrity of your data and ensure that your final result remains as precise as possible.

Consider the difference between using 5.19 and 5.19615. In a simple calculation, the discrepancy might seem negligible. However, when these numbers are scaled up, squared, or multiplied by other complex factors, the error propagates. This is often referred to as "rounding error" and it is a common pitfall in computer science and structural engineering. Always maintain symbolic representation as long as the laws of algebra allow.

Common Applications of Radicals

The Square Root Of 27 appears more often than one might think. In geometry, the Pythagorean theorem frequently involves radicals. If you are calculating the diagonal of a rectangular prism where the dimensions involve 3 and 9, you will inevitably end up dealing with the square root of the sum of the squares, which often leads to expressions involving √27.

In physics, specifically in kinematics, finding the time it takes for an object to fall or travel at a certain velocity involves square root calculations. Furthermore, in computer graphics and game development, the magnitude of a vector—calculated using the square root of the sum of squared components—is a daily operation for developers. Mastering these simplifications ensures that your code remains efficient and performant.

💡 Note: When working with calculators, notice that they usually provide the decimal. If you need the exact radical form, use the "SIMP" or "Simplify" function available on scientific models to avoid manual calculations.

Tips for Mental Math

Developing a "math sense" involves knowing common roots by heart. While you may not need to memorize the Square Root Of 27, having a ballpark estimate is incredibly useful. If you know that 5² = 25 and 5.2² = 27.04, you can instantly estimate that the root of 27 is just slightly less than 5.2. This quick estimation technique can help you catch gross errors in your work before you hit "enter" on your calculator.

  • Identify the perfect squares surrounding your number.
  • Use linear interpolation to narrow down the decimal.
  • Practice estimating roots of non-perfect squares like 8, 12, 18, and 27 to build confidence.

Approaching mathematics with a clear understanding of radicals transforms the way we interact with numbers. By deconstructing the Square Root Of 27, we move beyond simple memorization and enter a space of conceptual mastery. We have seen how this number can be simplified from its radical form into a more manageable expression, how it approximates in decimal form, and why it is vital to keep precision in mind during scientific and technical applications. Whether you are refining your academic skills or applying these principles in a professional field, the ability to work with irrational numbers remains a powerful asset. By keeping these steps in mind, you can approach any radical with confidence, ensuring that your mathematical foundations remain strong and your results remain accurate throughout your future endeavors.

Related Terms:

  • 27 in simplest radical form
  • square root of 27 simplify
  • square root of 27 formula
  • square root of 27 explained
  • sqrt 27 simplified radical form
  • square root of 27 calculator