Matrix Determinant Calculator
Blog

Matrix Determinant Calculator

1870 × 1132 px July 27, 2025 Ashley Blog

Linear algebra serves as the backbone of modern science, engineering, and data analysis. Whether you are dealing with computer graphics, machine learning algorithms, or quantum physics, the ability to manipulate square matrices is fundamental. One of the most critical operations in this field is finding the determinant. While you can calculate it manually for small grids, the process becomes incredibly tedious as the dimensions increase. This is where a reliable Determinant Matrix Solver becomes an indispensable tool for students, researchers, and professionals alike.

Understanding the Role of the Determinant

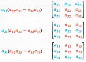
Before diving into how to use a tool, it is essential to understand what a determinant actually represents. In geometric terms, the determinant of a matrix provides a scaling factor for the linear transformation described by the matrix. For a 2x2 matrix, it represents the area of the parallelogram formed by its column vectors; for a 3x3 matrix, it represents the volume of a parallelepiped.

Mathematically, the determinant is a scalar value that helps us identify several key properties of a matrix:

  • Invertibility: A matrix is invertible (non-singular) if and only if its determinant is non-zero.
  • System Solutions: It is crucial for solving systems of linear equations using Cramer's rule.
  • Eigenvalues: The determinant is used to find eigenvalues, which are fundamental in stability analysis and data reduction techniques like PCA.
  • Orientation: A negative determinant indicates that the transformation involves a reflection (reversal of orientation).

Why Use a Determinant Matrix Solver?

When you encounter a 2x2 matrix, the formula ad - bc is quick and simple. However, once you reach 4x4, 5x5, or higher-order matrices, the complexity grows exponentially. Manual calculation using cofactor expansion or row reduction (Gaussian elimination) is prone to human error. A Determinant Matrix Solver automates this process, ensuring accuracy and saving significant time.

Using digital tools for these calculations allows you to focus on the high-level application of the results rather than getting bogged down in arithmetic minutiae. Whether you are a student verifying your homework or an engineer working on complex structural calculations, these solvers act as a perfect audit tool to validate your manual work.

Common Methods Used by Solvers

Most advanced matrix solvers utilize specific algorithmic approaches to ensure stability and speed. Understanding these methods can help you interpret the results provided by a Determinant Matrix Solver:

Method Best For Computational Efficiency
Cofactor Expansion Small matrices (3x3 or smaller) Low (O(n!))
LU Decomposition Medium to large matrices High (O(n³))
Gaussian Elimination General square matrices High (O(n³))

💡 Note: For very large or sparse matrices, advanced solvers use specialized algorithms like the Bareiss algorithm to minimize rounding errors during division processes.

Step-by-Step Approach to Solving Matrices

To get the most accurate result from a Determinant Matrix Solver, follow these steps to ensure your data is prepared correctly:

  1. Verify Square Format: Ensure your matrix has an equal number of rows and columns (e.g., 2x2, 3x3, 4x4). Determinants only exist for square matrices.
  2. Input Precision: If your matrix contains fractions or decimals, convert them to their decimal equivalents unless the solver specifically supports fractional notation to maintain precision.
  3. Review Results: If the solver returns a result of zero, interpret this as a singular matrix, meaning it cannot be inverted.
  4. Cross-Check: If you suspect the answer is incorrect, double-check your initial inputs, particularly the placement of negative signs, which are common sources of error in manual entry.

⚠️ Note: Always ensure that you are working with real or complex numbers as defined by your specific problem requirements, as some basic solvers are limited to real integers.

Applications in Real-World Scenarios

The utility of a Determinant Matrix Solver extends far beyond the classroom. In computer graphics, matrices represent transformations like rotation, scaling, and shearing. By calculating the determinant, programmers can determine if an object has been "flipped" inside out during a rendering process. In economics, determinants are used to analyze input-output models, helping experts predict the interdependencies between different sectors of an economy.

Furthermore, in electrical engineering, determinants are essential for analyzing circuit networks using Kirchhoff's laws. When dealing with a complex web of resistors and voltage sources, setting up a system of equations leads to a large matrix; calculating its determinant is the first step toward finding individual branch currents.

Best Practices for Complex Calculations

When working with high-dimensional matrices, consider the following best practices to maximize the effectiveness of your computational tools:

  • Normalize Data: Before plugging large numbers into a solver, simplify them if possible to reduce the risk of floating-point overflow.
  • Iterative Testing: If you are building a larger system, solve a simplified 2x2 or 3x3 version of your problem first to ensure your logic is sound before moving to larger dimensions.
  • Save Input States: Always keep a record of your input matrix in a text file or spreadsheet, as you may need to re-verify the input if you encounter unexpected results.

Mastering the use of a Determinant Matrix Solver represents a significant leap in productivity for anyone working with linear systems. By delegating the repetitive, high-stakes arithmetic to an automated process, you can dedicate more cognitive energy to the creative and analytical aspects of your work. The key lies in understanding the theoretical foundation, ensuring your input data is pristine, and knowing how to interpret the output within the broader context of your project. Whether you are validating a proof or calculating complex physical transformations, these tools remain an essential ally in the world of mathematics and beyond.

Related Terms:

  • calculate the determinant of matrix
  • matrix determinant calculator with steps
  • matrix determinant calculator
  • how to solve 3x3 matrix
  • how to calculate determinant 3x3
  • determinant calculator 3x3 with steps

More Images